NYC Campaign Spending vs Election Results
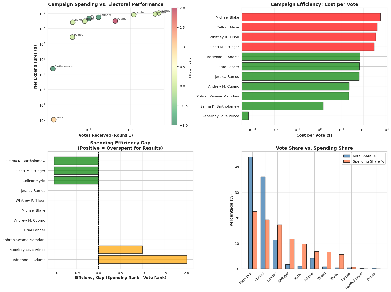
Prompt: Innyc_election folder, find and analyze campaign finances dataset, find correlation between the primary election results and spending. Who spent the most money but got least votes?

Analyzing the correlation between campaign spending and primary election results in NYC to identify spending efficiency
nyc_election folder, find and analyze campaign finances dataset, find correlation between the primary election results and spending. Who spent the most money but got least votes?
